Quantcast

Central Missouri News

Sunday, October 26, 2025

Montgomery County Health Department - Does Your Income Qualify for WIC?

60

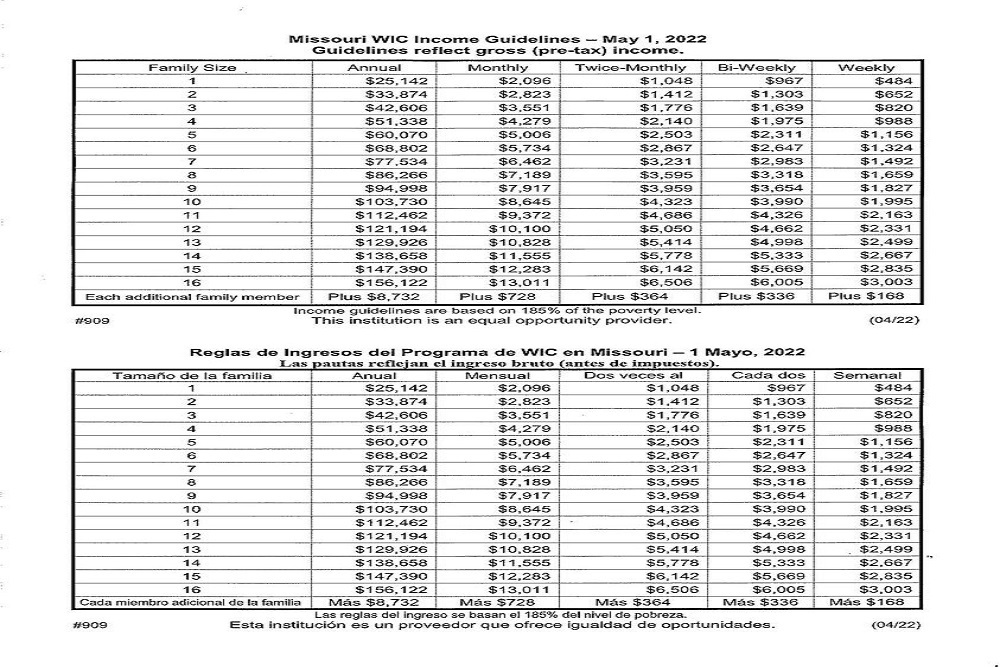
Does your income qualify for WIC? See the income guidelines chart. Call 573-564-2495 with questions or to make your WIC appointment.

Original source can be found here.

ORGANIZATIONS IN THIS STORY

!RECEIVE ALERTS

The next time we write about any of these orgs, we’ll email you a link to the story. You may edit your settings or unsubscribe at any time.
Sign-up

DONATE

Help support the Metric Media Foundation's mission to restore community based news.
Donate

MORE NEWS